
属性/方法名称前加的加号和减号表示了这个属性/方法的可见性,UML类图中表示可见性的符号有三种:
+:表示public
-:表示private
#:表示protected
属性的完整表示方式是: 可见性 名称 :类型 [ = 缺省值] 方法的完整表示方式是: 可见性 名称(参数列表) [ : 返回类型]
类之间关系的表示方式:
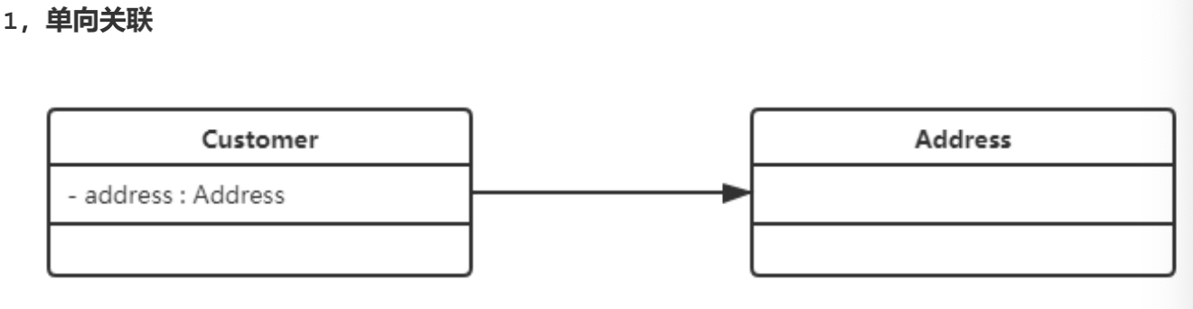
1、关联关系:关联关系是对象之间的一种引用关系,用于表示一类对象与另一类对象之间的联系,如老师和学生、师 傅和徒弟、丈夫和妻子等。关联关系是类与类之间最常用的一种关系,分为一般关联关系、聚合关系和组合关系。


自关联:

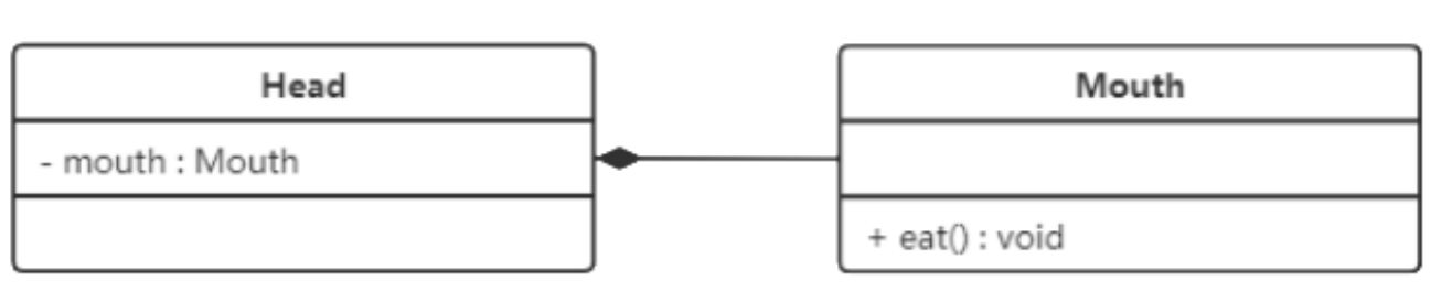
2、聚合关系:聚合关系是关联关系的一种,是强关联关系,是整体和部分之间的关系。 聚合关系也是通过成员对象来实现的,其中成员对象是整体对象的一部分,但是成员对象可以脱离整体 对象而独立存在。

3、组合关系:组合表示类之间的整体与部分的关系,但它是一种更强烈的聚合关系。在组合关系中,整体对象可以控制部分对象的生命周期,一旦整体对象不存在,部分对象也将不存在, 部分对象不能脱离整体对象而存在。

4、依赖关系:依赖关系是一种使用关系,它是对象之间耦合度最弱的一种关联方式,是临时性的关联。在代码中,某个类的方法通过局部变量、方法的参数或者对静态方法的调用来访问另一个类(被依赖类)中的某些方 法来完成一些职责。

5、继承关系:继承关系是对象之间耦合度最大的一种关系,表示一般与特殊的关系,是父类与子类之间的关系,是一种继承关系。

6、实现关系:实现关系是接口与实现类之间的关系。在这种关系中,类实现了接口,类中的操作实现了接口中所声明的所有的抽象操作。
